SEGUNDO QUIMESTRE
Matemática 10 EGB
ECUACIONES DE PRIMER GRADO
En cuanto a las matemáticas, las ecuaciones de primer grado son la introducción al álgebra. Su comprensión es imprescindible para cualquier tipo de ecuaciones: ecuaciones de segundo grado o de grado mayor, exponenciales, irracionales, etc. y para los sistemas de ecuaciones.
En cuanto a la vida real, aunque en un principio no se piense así, las ecuaciones son una herramienta de gran utilidad que nos permiten resolver numerosos problemas a los que nos enfrentamos diariamente.

EJEMPLOS
Actividad: Miércoles 10 de febrero.
Observe el siguiente video:
Resuelva las siguientes ecuaciones y súbalas a su carpeta personal dentro de la UNIDAD N 3.

Miércoles 10 de marzo
Ecuaciones fraccionarias de primer grado
Observe los siguientes videos:
Resuelva las siguientes ecuaciones, tome una fotografía y súbala a su carpeta personal dentro de la Unidad N 3.

Sistemas de ecuaciones
Recordemos que los Sistemas de Ecuaciones Lineales 2×2 son aquellos que se componen de dos ecuaciones con dos incógnitas, y existen varios métodos para llegar a su solución en caso de existir.
Método de igualación

Observe le siguiente video.


ACTIVIDAD
Miércoles 24 de marzo
Resuelva los siguientes sistemas de ecuaciones en hojas de cuadros, tome una fotografía y súbala a su carpeta personal dentro de la Unidad N 3.


Método de sustitución
Para la resolución por este método de un clic en la siguiente imagen.
Observe el siguiente video:
Ejemplos de un clic en la siguiente imagen.
ACTIVIDAD
Miércoles 31 de marzo
Resuelva los siguientes sistemas de ecuaciones aplicando el método de sustitución en hojas de cuadros, tome una fotografía y súbala a su carpeta personal dentro de la Unidad N 3.


Método de reducción por sumas y restas
Para la resolución por este método de un clic en la siguiente imagen.
Observe los siguientes videos
Video N 1
Video N 2
Ejemplos de un clic en la siguiente imagen.
ACTIVIDAD
Miércoles 14 de abril
Resuelva los siguientes sistemas de ecuaciones aplicando el método de reducción por sumas y restas en hojas de cuadros, tome una fotografía y súbala a su carpeta personal dentro de la Unidad N 3.


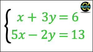
Método de resolución aplicando la regla de Cramer
Para aplicar el método de resolución aplicando la regla de Cramer, primero debemos calcular el valor numérico de una matriz.
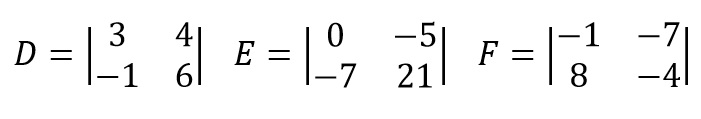
Una matriz es una relación de orden entre filas y columnas.

Existen dos tipos de matrices, matrices cuadradas y matrices rectangulares.
Para el estudio de un sistema de 2x2 es necesario la aplicación de una matriz cuadrada; es decir tienen el mismo número de filas y columnas.

Para continuar con el proceso, es necesario obtener el valor numérico de la matriz; en nuestro caso de una matriz 2x2.

Nota el color azul mantiene el signo, mientras el color rojo cambia el signo y para finalizar realizamos la suma algebraica correspondiente y de esa manera obtenemos el valor numérico de una matriz 2x2.
Ejemplos:


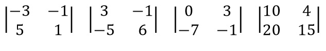
Actividad miércoles 21 de abril
Determine el valor numérico de las siguientes matrices en hojas de cuadros, tome una fotografía y súbala dentro de su carpeta personal en la Unidad N 4.

ACTIVIDAD
Miércoles 12 de mayo
Resuelva los siguientes sistemas de ecuaciones aplicando la regla de Cramer en hojas de cuadros, tome una fotografía y súbala a su carpeta personal dentro de la Unidad N 4.



Actividad miércoles 09 de junio.
Determine la medida de la hipotenusa de los siguientes triángulos. Nota las medidas están en cm y en base a los cuadros de la gráfica.
Recuerde subir dentro de su carpeta Unidad N 4.

Proyecto Quimestral
A continuación usted puede descargar el proyecto quimestral.


